CRISR学术报告之二-冲击扰动诱发巷道顶板关键块岩石的失稳滑落规律研究
在国家杰青青年科学基金“深部岩体损伤与破裂及其致灾机理”(No.51525402)和国家重点研发计划项目第七课题“基于云计算的矿山多灾种耦合风险监测预警平台”(No.2016YFC0801607)的资助下,东北大学采矿工程系岩石破裂与失稳研究所(CRISR)课题组以实现金属矿山采动灾害预测预警和科学防控为最终目标,开展了采动诱发矿山顶板冒落灾害的机理研究。
该研究采用实验和理论相结合的方法,对竖向冲击扰动引起的顶板关键块滑动失稳过程进行了研究。首先,将顶板岩体简化为一个由左侧围岩、中间关键块体和右侧围岩组成块体系统。然后,在此简化模型的基础上,自主设计了一套试验装置。考虑了夹持载荷与冲击能量两方面影响因素,利用砂岩岩块试样进行了一系列的冲击滑动失稳试验。分析了冲击后恢复稳定条件下关键块的滑动特征与冲击后发生失稳滑落条件下关键块的失稳特征。对比关键块的滑动位移与应变变形,分析了试验中观察到的特征现象的发生机理,研究了波传播对关键块体滑动失稳过程的影响作用。此外,研究了关键块滑动位移与扰动能量、初始应力状态的关系以及关键块在受扰条件下发生失稳滑落的临界条件。
(1) 自主研发试验装置:为满足实验需求,利用侧向与竖向安装的液压油缸提供双向静态载荷、落锤撞击与摆锤撞击的方式提供双向动态扰动,自主研发了双向冲击扰动试验装置,对动态扰动下关键块的滑动过程失稳进行了量化分析。

图1 矿山三维虚拟现实场景构建
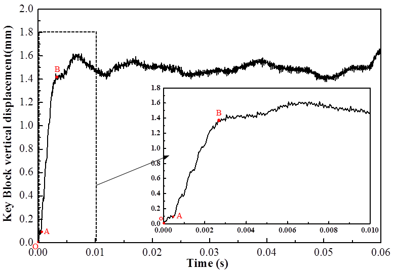
(2) 关键块受扰滑动位移曲线:在不同的初始夹持载荷与冲击能量条件下,关键块受扰后可能产生三种不同的响应,即受扰后滑动一定距离后恢复平衡(type I)、反弹冲击诱发的失稳滑落(type II )以及首次冲击诱发的失稳滑落(type III)。对于type I,关键块将经历“启滑阶段”、“稳定滑动阶段”以及“位移震荡阶段”三个滑动演化过程;而对于type III,前两个滑动阶段与type I 一样,但是在“稳定滑动”后将发生“持续加速滑动”并失稳滑落。

图2 不同初始夹持载荷与扰动能量条件下关键块滑动位移曲线
(3) 关键块受扰滑动中的三个阶段:关键块在受扰滑动后恢复稳定的情况下(Type I),其滑动过程存在三个明显的不同阶段:启滑阶段、稳定滑动阶段、位移震荡阶段。关键块在宏观滑动之前存在一个明显位移跳跃,称为启滑阶段;之后关键块滑动位移近似线性的增长,但明显存在阶梯上升的特征,这是关键块体受到冲击扰动激励而发生的受迫振动;最后,关键块在滑动位移到达峰值后,出现了位移持续震荡的现象,这是由于块体系统中传播的摆型波引起的。

图3 I型滑动模式下关键块受扰滑动的三个阶段
(4) 两种不同的失稳模式:在关键块受扰滑动后失稳滑落的条件下,其滑动失稳过程也存在两种明显不同的情况:冲击后延迟滑落与冲击后即时滑落。当冲击瞬间的滑动距离较短时,关键块与两侧围岩接触较紧密,摆型波对关键块的“增强夹紧”作用明显,关键块将在短暂稳定后发生滑落;当冲击瞬间的滑动距离较大时,关键块与两侧围岩几乎脱离,摆型波作用不明显,关键块立即发生滑落。

(a) 延迟失稳滑落
(b)即时失稳滑落
图4 III型滑动模式下关键块两种不同的失稳过程
(5) 关键块滑动过程符合摆型波理论的验证:假设三个块体为刚性长方体块体,采用Aleksandrova等给出的摆型波在块系介质中的动力传播模型进行了理论分析。分析结果得出试验中获取的关键块体横向应变变化规律与理论计算结果基本一致,波动周期约为2.8ms。因此,验证了本试验中的梯形块体系统中确实产生了摆型波波动。
图5 Aleksandrova等提出的摆型波传播模型

图6 理论计算结果与试验测试结果对比
相关文献
申请专利(2项)
[1]. 2018,国家发明专利申请,一种双向静动加载的顶板关键块冒落试验装置及方法,国家发明专利,申请号:CN201810367298.8,申请日:20180319,朱万成;代风;徐曾和;李帅;牛雷雷;程关文;刘溪鸽;张鹏海;于庆磊
[2]. 2018, 国际发明专利申请,Test Apparatus And Method For Key Roof Block Fall Test Device and Method Based on Bidirectional Static-Dynamic Loading, PCT/CN2018/085937,ZHU, Wancheng; DAI, Feng; XU, Zenghe; LI, Shuai; NIU, Leilei; CHENG, Guanwen; LIU, Xige; ZHANG, Penghai; YU, Qinglei
期刊论文(共计2篇)
[3]. Dai Feng; Zhu, W.C.; Niu Leilei; Hou Chen; Yu Yongjun; Guan Kai,The sliding instability of rock roof block induced by vertical dynamic disturbance: An experimental study,International Journal of Rock Mechanics And Mining Sciences,2021,143: 104799
[4]. Dai Feng, Zhu Wancheng, Niu Leilei; Hou Chen, Ren Min. Sliding and caving process of jointed roof rock block under the dynamic disturbance, The 11th Asian Rock Mechanics Symposium, 2021.
